Answer is (xy z)(x^2 y^2 xyz z^2) You can check by multiplying it out Notice that each term is a perfect cube x^3 y^3 = (xy)^3 So we have a sum of cubes, and the factoring formula is a^3 b^3 = (ab)(a^2abb^2) So we use a = xy and b = z to get x^3 y^3 z^3 = (xy)^3 z^3 = ((xy) z)((xy)^2(xy)zz^2) =(xy z)(x^2 y^2 xyz z^2) check by multiplying it out toSolution for Find the value of x3 y3 z3 3xyz if x2 y2 z2 = x y z = 15Answer to For f(x,y,z) = x^3y^3z^33xyz, evaluate the directional derivative f prime (1,1,1(a,b,c)) at the point (1,1,1) towards the direction
Verify That X 3 Y 3 Z 3 3xyz Frac 1 2 X Y Z X Y 2 Y Z 2 Z X 2 Snapsolve
X^3+y^3+z^3-3xyz formula proof
X^3+y^3+z^3-3xyz formula proof- 3 Follow 1 Certified by MeritNation Expert Yogendra Singh, added an answer, on 10/9/12 Yogendra Singh answered this Given xyz=0 to prove x 3 y 3 z 3 =3xyz x 3 y 3 z 3 3xyz= (xyz)X^3 y^3 z^3 3x^2y 3xy^2 3x^2z 3z^2x 3y^2z 3z^2y 6xyz Lennox Obuong Algebra Student Email obuong3@aolcom



Ex 2 5 11 Factorise 27 X3 Y3 Z3 9xyz Class 9 Ex 2 5
If xy=z Then x^3y^3z^33xyz=?Solution (By Examveda Team) Given, x y z = 0 Cubing both side, (x y z) 3 = 0 x 3 y 3 z 3 3xyz = 0 using formula x 3 y 3 z 3 = 3xyzAnswer The formula of x 3 y 3 z 3 – 3xyz is written as Let us prove the equation by putting the values of x = 1 y = 2 z = 3 Let us consider LHS of the equation LHS = x 3 y 3 z 3 – 3xyz LHS = 1 3 2 3 3 3 – 3 (1 × 2 × 3)
대수 인수분해하기 x^3y^3z^3 x3y3 z3 x 3 y 3 z 3 x3y3 x 3 y 3 을 (xy)3 ( x y) 3 로 바꿔 씁니다 (xy)3 z3 ( x y) 3 z 3 두 항 모두 완전세제곱식이므로 세제곱의 합 공식 a3 b3 = (ab)(a2 −abb2) a 3 b 3 = ( a b) ( a 2 a b b 2) 을 이용하여 인수분해합니다 이 때 a = xy a = x y The diophantine equation x^3/3y^3z^32xyz=0 We will be presenting two theorems in this paper The first theorem, which is a new result, is about the nonexistence of integer solutions of the cubic diophantine equation In the proof of this theorem we have used some known results from theory of binary cubic forms and the method of infiniteX = 551, y = 552 and z = 557 we know the alternate way to write the for
(xyz) (x ^ 2 xy y ^ 2 xzyz z ^ 2) หลักฐาน โปรดทราบว่า x = y z เป็นคำตอบของ x ^ 3y ^ 3z ^ 33xyz = 0 เสียบ x = y z ในสมการข้างต้น (y z) ^ 3y ^ 3z ^ 33 (y z) yz = y ^ 3 3y ^ 2z 3yz ^ 2 z ^ 3 y ^ 3z ^ 33y ^ 2z3yz ^ 2 = 0 เราจึงสามารถหาร= x 3 y 3 z 3 – 3xyz (all the other terms are canceled) Hence the formula is derived Factoring Formula 9 x 3 y 3 = (x y) (x 2 – xy y 2) Let us start with the righthand side of this formula and reach the lefthand side at the end (x y) (x 2 – xy y 2) = x 3 x 2 y xy 2 x 2 y xy 2 y 3 = x 3 y 3 Hence the formulaFind the zeros of the polynomial 4x square 25;



X3 Y3 Z3 Novocom Top



If X 3 Y 3 Z 3 3xyz Then X Y Z
Formula of a plus b whole cube (a plus b whole cube formula) Dear Examtrixcom (Exam Tricks) followers, That is to say, this important PDF Book is about ab whole cube formula Similarly, at this platform we share a plus b ka whole cube Handwritten notes pdf in HindiEnglish and ab cube formula Free Pdf Study material for Sarkari exam JobsA) 36 b) 40 c) 42 d) 48Click here👆to get an answer to your question ️ Using the identity and proof x^3 y^3 z^3 3xyz = (x y z)(x^2 y^2 z^2 xy yz zx) Join / Login maths



If X Y Z 0 Show That X3 Y3 Z3 3xyz Maths Polynomials Meritnation Com



4 Partial Derivatives And Their Applications Derivative Variable Mathematics
if x=3 and y=4 find the value of x(3x4y) If Doraemon had anywhere door, then why Nobita always got late for school xD Solve for the two x values using the quadratic formula method Ex 25, 13 If x y z = 0, show that x3 y3 z3 = 3xyz We know that x3 y3 z3 3xyz = (x y z) (x2 y2 z2 xy yz zx) Putting x y z = 0, x3 y3 z3 3xyz = (0) (x2 y2 z2 xy yz zx) x3 y3 z3 3xyz = 0 x3 y3 z3 = 3xyz Hence proExample 1 Simplify (3u 5w) (3u – 5w) Using the algebraic identities (a b) (a b) = a2 b2, we substitute a for 3u and b for 5w (3u 5w) (3u – 5w) = (3u)2 – (5w)2 = 9u2 – 25w2 Thus (3u 5w) (3u – 5w) = 9u 2 – 25w 2 Example 2 Using the algebraic identities to simplify (3a 7b)2 Using (ab)2 = a22abb2



Exercise



If Math X Y Z 0 Math What Is The Value Of Math Frac X 2 Yz Frac Y 2 Zx Frac Z 2 Xy Math Quora
L #short l #shortvideo l #careermadeeasy l math shorts lबीजगणित सामान्य सूत्र (Math Algebra Basic Formula) Magic Maths Tricks In Hindi16 SSC IBPS बीजगणित सामान्य सूत्र (Math Algebra Basic Formula) X 3 Y 3 Z 3 =3XYZEquations Tiger Algebra gives you not only the answers, but also the complete step by step method for solving your equations x3(yz)y3(zx)z3(xy) so that you understand better



What Is The Smallest Value Of X 2 Y 2 Z 2 Assuming X Y Z Are Real Numbers Satisfying X 3 Y 3 Z 3 3xyz 1 Quora



If X Y Z 0 Show That X3 Y3 Z3 3xyz Maths Polynomials Meritnation Com
So,our formula becomes `x^3 y^3 z^3 3xyz =0**(x^2y^2z^2xyyzzx)` `x^3 y^3 z^3 3xyz =0` `x^3 y^3 z^3 = 3xyz ` ← Prev Question Next Question → Related questions 0 votes 1Get the answer to this question and access a vast question bank that is tailored for students The answer is yes, the rational points on your surface lie dense in the real topology Let's consider the projective surface S over Q given by X 3 Y 3 Z 3 − 3 X Y Z − W 3 = 0 It contains your surface as an open subset, so to answer your question we might as well show that S ( Q) is dense in S ( R) Observe that S has a singular



Verify That X 3 Y 3 Z 3 3xyz 1 2 X Y Z X Y 2 Y Z 2 Z X 2 Verify That 3 3 3 3 12 2 2



X3 Y3 Z3 Novocom Top
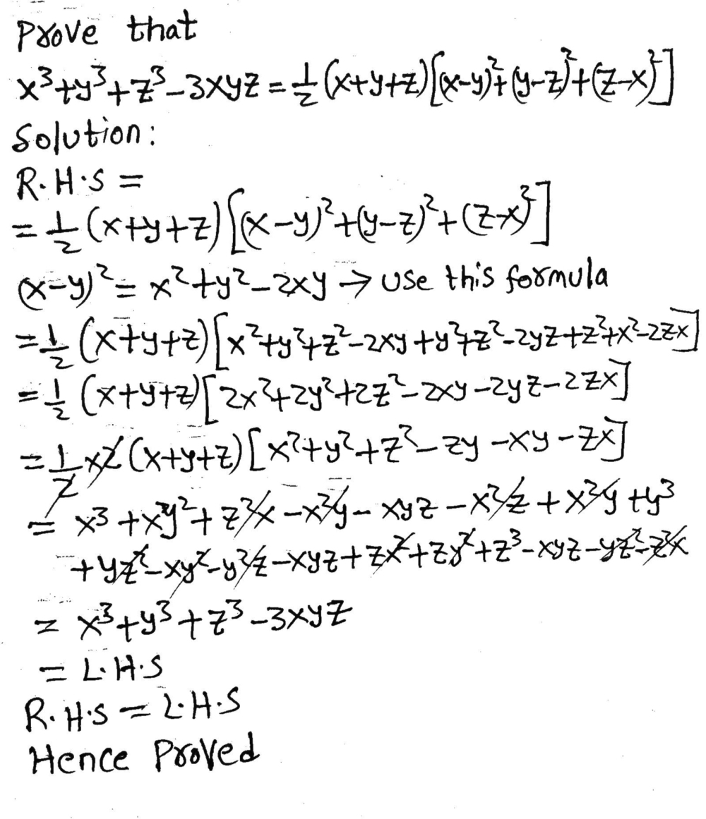
Solution x = 2x, y = 2y and z = 4z If x y z = 0, then x 3 y 3 z 3 = 3xyz 8x 3 27y 3 64z 3 = 3 (2x) (2y) (4z) = 48xyz After having gone through the stuff given above, we hope that the students would have understood, "x cube plus y cube plus z cube minus 3xyz" Apart from the stuff given in this section, if you need any other Ex 25, 12 Verify that x3 y3 z3 – 3xyz = 1/2 (x y z)(x – y)2 (y – z)2 (z – x)2 Solving RHS 1/2 (x y z)(x – y)2 (y – z)2 (z – xL #shorts l Algebra Identities l algebra l Algebra formula l math lHow to solve If xy=z Then x^3y^3z^33xyz=?



What Is The Formula For A 3 B 3



Ex 2 5 11 Factorise 27 X3 Y3 Z3 9xyz Class 9 Ex 2 5
How do you factor completely x^3 y^3 z^3 3xyz?Click here👆to get an answer to your question ️ Factorise 27x^3 y^3 z^3 9xyz{eq}x^3 2y^3 z^3 3xyz 2y 3 = 0 {/eq} Implicit Differentiation Let us use the implicit differentiation to find the partial derivative that is we will keep only the x as variable while y



How To Factorise Using The Identity X3 Y3 Z3 3xyz X Y Z X2 Y2 Z2 Xy Yz Zx Youtube



X Y Z 0 Show That X3 Y3 Z3 3xyz Novocom Top
If there doesnt exist real solution, then the cubic equation has 3 roots and it's easy to use trigonometry to solve it (applying the formula $\cos 3x =4\cos^3 x 3 \cos x$) But this is not the case that we are interested inCompute answers using Wolfram's breakthrough technology & knowledgebase, relied on by millions of students & professionals For math, science, nutrition, history 10 A polynomial from Qx, y, z is a polynomial from Qx, yz, so it can be viewed as a polynomial in z with coefficients from the integral domain Qx, y p(z) = z3 − 3xy ⋅ z x3 y3 So we can try our methods to factor a polynomial of degree 3 over an integral domain If it can be factored then there is a factor of degree 1, we call



Verify That X3 Y3 Z3 3xyz 1 2 X Y Z X Y 2 Y Z 2 Z X 2 Class 9th Ex 2 5 Question 12 Youtube



If X Y Z 0 Show That X 3 Y 3 Z 3 3x Y Z
#shorts l Algebra Identities l algebra l Algebra formula l math l How to solve If xy=z Then x^3y^3z^33xyz=?Or, `x^3 y^3 z^3 3xyz = 0` Or, `x^3 y^3 z^3 = 3xyz` proved Question 14 Without actually calculating the cubes, find the value of each of the following We believe that the comprehensive list of basic Maths formulas for Class 9 will make your learning effective You can simply click on the Topics to view the Class 9 Maths formulas and aid your preparation If you feel any formula is missing that can be added to our list do drop us a comment and we will add it to the list



Polynomials Ppt Video Online Download



If X Y Z 0 Then Prove That X3 Y3 Z3 3xyz Youtube
Question If x = 255, y = 256, z = 257, then find the value of x 3 y 3 z 3 3xyz OptionsLearn about Algebra Formula, Equations and List of Basic Algebraic Formulas & Expression in Math Algebra includes real numbers, complex numbers, matrices, vectors and many other topics(xyz)^3 put xy = a (az)^3= a^3 z^3 3az ( az) = (xy)^3 z^3 3 a^2 z 3a z^2 = x^3y^3 z^3 3 x^2 y 3 x y^2 3(xy)^2 z 3(xy) z^2 =x^3 y^3 z^3 3 x



Polynomials Pages 1 28 Flip Pdf Download Fliphtml5



Ex 2 5 12 Verify That X3 Y3 Z3 3xyz 1 2 Ex 2 5
I don't know what you really want to ask , but here is at least a bit of content to this for this formula Since it is homogenous in x,y,z (so all terms have equal degree), you can read it as a description of a object of algebraic geometry eitherSolve for x Use the distributive property to multiply xy by x^ {2}xyy^ {2} and combine like terms Use the distributive property to multiply x y by x 2 − x y y 2 and combine like terms Subtract x^ {3} from both sides Subtract x 3 from both sides Combine x^ {3} and x^ {3} to get 0 Combine x 3 and − x 3 to get 0 Given If x y = 4, xy = 2, y z = 5, yz = 3, z x = 6 and zx = 4 Formula used x 3 y 3 z 3 3xyz = (x y z) × (x 2 y 2 z 2 – xy – yz – zx) (x y) 2 = x 2 y 2 2xy Calculations x y = 4, y z = 5, z x = 6 So, x y z = 15/2 = 75



Pdf On Solving The Diophantine Equation 𝑥 𝑦 𝑧 𝑘 On A Vector Computer



What Will Be The Value Of X Y Z 3 If X Y Z 0 Quora
If x = 551, y = 552 and z = 557, then what is the value of x 3 y 3 z 3 – 3xyz?If x y z = 6 and xy yz zx = 10, then the value of x3 y3 z3 3xyz is? Find an answer to your question verify that x^3 y^3 z^3 3xyz = 1/2(x y z)(x y)^2 (y z)^2 (z x)^2 Answer First We take RHS & use the Formula ( ab)²= a²b²2ab & simplify it then RHS becomes equal to LHS



Factorization Of X3 Y3 Z3 3xyz Youtube



Polynomials Ppt Video Online Download
Solve your math problems using our free math solver with stepbystep solutions Our math solver supports basic math, prealgebra, algebra, trigonometry, calculus and more गुणनखंड कीजिये `x^(3) y^(3) z^(3) 3xyz`To ask Unlimited Maths doubts download Doubtnut from https//googl/9WZjCW Verify that `x^3y^3z^33x y z=1/2(xyz)(xy)^2(yz)^2(zx)^2`



If X A Y B Z C Then Show That X3 A3 Y3 Z3 A Xyz Abc Mathematics Topperlearning Com Mfmw0q55



Show That Y X Z X X Y Z X X Y Y Z X Y Y Z Z X 2 X 3 Y 3 Z 3 3xyz
In mathematics, the Poincaré residue is a generalization, to several complex variables and complex manifold theory, of the residue at a pole of complex function theoryIt is just one of a number of such possible extensions Given a hypersurface defined by a degree polynomial and a rational form on with a pole of order > on , then we can construct a cohomology class (;)Factoring Calculator Online calculator factors single variable or multivariable polynomial with step by step explanations Start by entering your expression in the formula pane below Example x 4 x 2 1, x 6 64 y 6, x 3 y 3 z 3 − 3 x y z Solve Factoring Calculator Equation Solver If the polynomial k 2 x 3 − kx 2 3kx k is exactly divisible by (x3) then the positive value of k is ____ formula of polynomials Questions;



X Y Z 0 Show That X3 Y3 Z3 3xyz Novocom Top



Algebra Toughest Questions Algebra Teaching Mathematics



If X Y Z 0 Show That X3 Y3 Z3 3 Xyz Brainly In



If X Y Z 6 And X2 Y2 Z2 Then The Value Of X3 Y3 Z3 3xyz Is From Quantitative Aptitude Algebra



Verify That X 3 Y 3 Z 3 3xyz 1 2 X Y Z X Y 2 Y Z 2 Z X 2 Youtube



If X A B Y B C Z C A Then X3 Y3 Z3 3xyz Brainly In



Http Www Cis Umac Mo Fstitl Calculus12 13 Example 04 Pdf



X Y Z 3 Expansion



If X Y Z 0 Then Show That X3 Y3 Z3 3xyz If X Y Z 0 Prove That X3 Y3 Z3 3xyz Youtube



Verify X3 Y3 Z3 3xyz 1 2 X Y Z X Y 2 Y Z 2 Z X 2 And Then Factorize 64x3 125y3 64z3 240xyz Brainly In



If X Y Z 9 And X 2 Y 2 Z 2 35 Find The Value Of X 3 Y 3 Z 3 3xyz Brainly In



Rd Sharma Class 9 Chapter 5 Factorization Of Algebraic Expressions



1



Verify That X 3 Y 3 Z 3 3xyz 1 2 X Y Z X Y 2 Y Z 2 Z X 2 Can Any One Solve This Question Edurev Class 9 Question



Verify That X3 Y3 Z3 3xyz 1 2 X Y Z X Y 2 Y Z 2 Z X 2 Youtube



If X A Y B Z C Show That X 3 A 3 Y 3 B 3 Z 3 C 3 3xyz Abc Sarthaks Econnect Largest Online Education Community



If X Y Z 9 And Xy Yz Zx 23 Find The Valure Of X3 Y3 Z3 3xyz Brainly In



Pdf On Solving The Diophantine Equation 𝑥 𝑦 𝑧 𝑘 On A Vector Computer



Http People Whitman Edu Hundledr Courses M225 Rev2soln Pdf



Search Q X Y 5e3 Tbm Isch



Polynomials Ppt Video Online Download



Prove That X Y 3 Y Z 3 Z X 3 3 X Y Y Z Z X 2 X3 Y3 Z3 3xyz Maths Meritnation Com



Verify That X3 Y3 Z3 3xyz 1 2 X Y Z X Y 2 Y Z 2 Z X 2 Brainly In



X3 Y3 Z3 3xyz 1 2 X Y Z X Y 2 Y Z 2 Z X 2 Novocom Top



Www Vidyarthiplus Com Vp Attachment Php Aid 7157



If X Y Z 9 And Xy Yz Zx 23 The Value Of X 3 Y 3 Z 3 3xyz



Ex 2 5 Q No 12 Verify X3 Y3 Z3 3xyz 1 2 X Y Z X Y 2 Y Z 2 Z X 2 Youtube



Ex 2 5 Q No 12 Verify X3 Y3 Z3 3xyz 1 2 X Y Z X Y 2 Y Z 2 Z X 2 Youtube



X 3 Y 3 Z 3 Novocom Top



If Math X Y Z 0 Math How Do You Prove That Math X 3 Y 3 Z 3 3xyz Math Quora



If X Y Z 0 Show That X 3 Y 3 Z 3 3xyz With Video



2



Verify That X 3 Y 3 Z 3 3xyz Frac 1 2 X Y Z X Y 2 Y Z 2 Z X 2 Snapsolve



Formula



What Is The Formula Of Math X 3 Y 3 Z 3 3xyz Math Quora



Verify That X 3 Y 3 Z 3 3xyz 1 2 X Y Z X Y 2 Y Z 2 Z X 2



What Is The Formula Of Math X 3 Y 3 Z 3 3xyz Math Quora



Prove That 1 1 1 X Y Z X 3 Y 3 Z 3 X Y Y Z X Y Z



If X Y Z 0 Show That X 3 Y 3 Z 3 3xyz Brainly In



Find The Value Of X 3 Y 3 Z 3 3xyz If X 2 Y 2 Z 2 And X Y Z 15 Brainly In



Prove That X Y3 Y Z3 Z X3 3x Yy Zz X 2x3 Y3 Z3 3xyz Maths Polynomials Meritnation Com



Ex 2 5 Q13 If X Y Z 0 Show That X 3 Y 3 Z 3 3xyz



Pdf On Solving The Diophantine Equation 𝑥 𝑦 𝑧 𝑘 On A Vector Computer



Polynomials Ppt Video Online Download



Polynomials Ppt Video Online Download



Verify That X 3 Y 3 Z 3 3xyz 1 2 X Y Z X Y 2 Y Z



2



X3 Y3 Z3 3xyz X Y Z X2 Y2 Z2 Xy Yz Zx Proof It Lhs To Rhs Brainly In



If X Y Z 0 Then Show That X3 Y3 Z3 3xyz



Using Identities Prove That X 3 Y 3 Z 3 Or Equal To 3xyz Where X Y Z Are Positive Real Numbers Quora



Verify That X 3 Y 3 Z 3 3xyz 1 2 X Y Z X Y 2 Y Z



If Math X Y Z 0 Math Then Math X Y Z 3 Y Z X 3 Z X Y 3 Math Quora



Prove That X3 Y3 Z3 3xy X Y Z X2 Y2 Z2 Xy Yz Zx Only By Lhs Brainly In



Factorise The Following X Y 2 X Y 2 Factorise X Y 2 X Y 2



Bits Of Math Problem Cubes And Cube Roots



Arxiv Org Pdf 1609



Ex 2 5 14 Without Actually Calculating The Cubes Find I 12 3



Cbse 9 Math Cbse Polynomials Ncert Solutions



Dziedzictwo Lekarstwo Mary X 3 Y 3 Wierzcholek Pochylac Sie Usunac



Verify That X3 Y3 Z3 3xyz 1 2 X Y Z X Y 2 Y Z 2 Z X 2 Brainly In



X 3 Y 3 Z 3 3xyz Formula Proof Malaydras



If X Z 225 And Y 226 Then What Is The Value Of X Y Z 3xyz Quora



2 Two Cube 5 Five Cube 10 Ten Cube Pdf Free Download



X3 Y3 Z3 3xyz 1 2 X Y Z X Y 2 Y Z 2 Z X 2 Novocom Top



X 3 Y 3 Z 3 3xyz X Y Z X 2 Y 2 Z 2 Xy Yz Zx A 3 B 3 C 3 3abc A B C A 2 B 2 C 2 Ab Ca Youtube



I Need An Example For This Formula X3 Y3 Z3 3xyz Brainly In



Q 12 Factorise The Expression X Y Z 3 X3 Y3 Z3 Into Linear Factors Youtube



File



If X Z 225 And Y 226 Then What Is The Value Of X Y Z 3xyz Quora



X Y Z 0 Show That X3 Y3 Z3 3xyz Novocom Top



X Y Z 0 Show That X3 Y3 Z3 3xyz Novocom Top



Ex 2 5 14 Without Actually Calculating The Cubes Find I 12 3



X 3 Y 3 Z 3 3xyz の因数分解についての話題から 身勝手な主張



Show That X3 Y3 Z3 3xyz X Y Z X2 Y2 Chegg Com



If X A Y B Z C Show That X 3 A 3 Y 3 B 3 Z 3 C 3 3xyz Abc Sarthaks Econnect Largest Online Education Community



Prove That X3 Y3 Z3 3xyz 1 2 X Y Z X Y 2 Y Z 2 Z X 2 Brainly In



1



Pdf On Some Properties Of Xi Yi Zi Dxyz X3 Y3 Z3 Dxyz And X6 Y6 Z6 Dxyz And A Critique Of Solutions For The Markoff Equation X2 Y2 Z2 Axyz


0 件のコメント:
コメントを投稿